• Предмет: Алгебра
  • Автор: 44et4y5
  • Вопрос задан 8 лет назад

СРОЧНО!!!!!!!!!!!!ПОЖАЛУЙСТА!!!!!! ОТДАЮ ВСЕ БАЛЛЫ!!!! ЧЕСТНО!!!

Приложения:

Ответы

Ответ дал: maksimcat
0

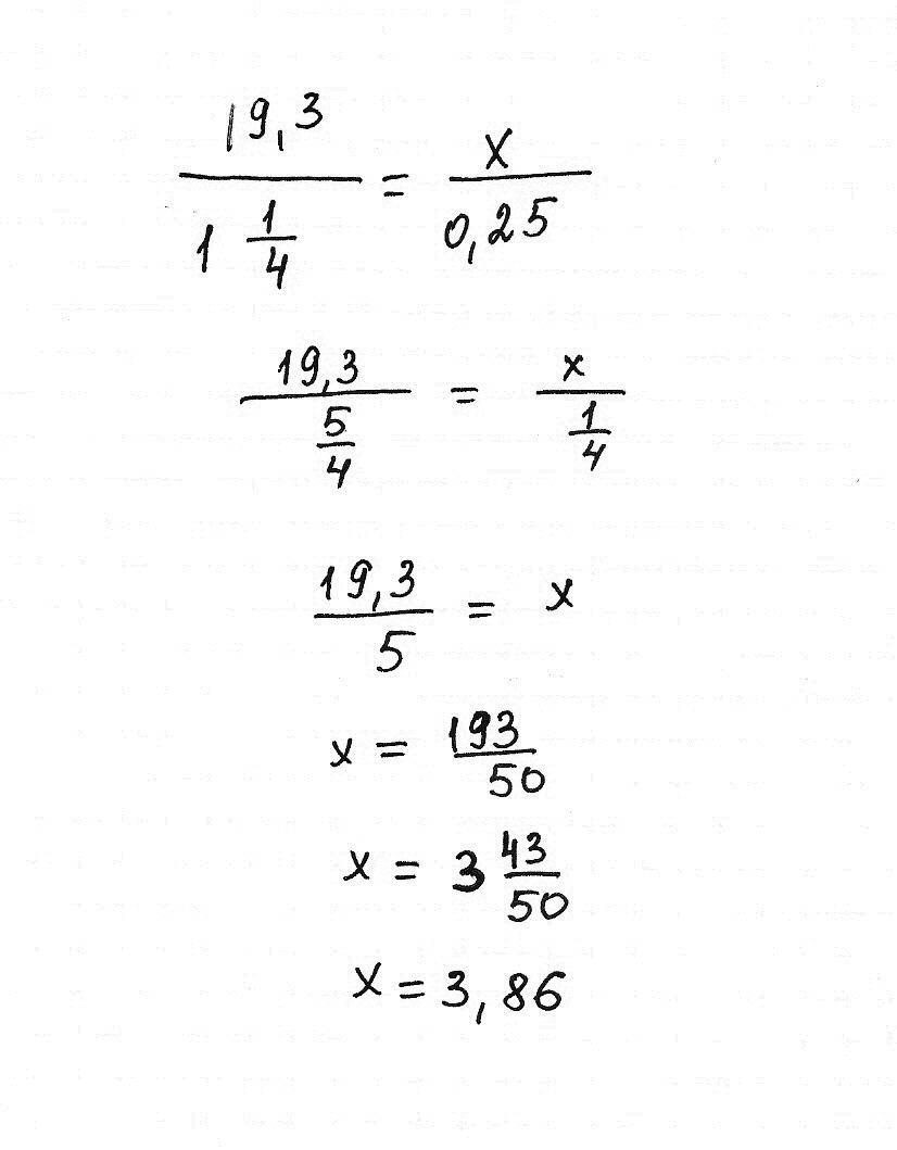
ответ на фото\\\\\\\\\\\\\\\\\\\\\\

Приложения:
Вас заинтересует