• Предмет: Алгебра
  • Автор: samerxill
  • Вопрос задан 8 лет назад

решите пожалуйста очень надо​

Приложения:

Ответы

Ответ дал: hote
0

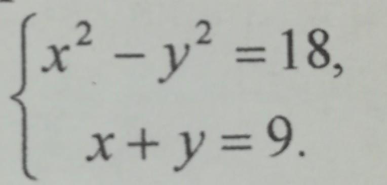
displaystyle left { {{x^2-y^2=18} atop {x+y=9}} right.\\left { {{(x-y)(x+y)=18} atop {x+y=9}} right.\\left { {{(x-y)*9=18} atop {x+y=9}} right.\\x-y=18:9\\x-y=2\\x=2+y

подставим во второе уравнение

displaystyle 2+y+y=9\\2+2y=9\\2y=7\\y=7/2

тогда

displaystyle x=7/2+2=11/2

ответ: х=11/2; у=7/2

Ответ дал: samerxill
0
у тебя ответ правильный, а другого нет, я случайно поставила лучший другому. Прости
Ответ дал: samerxill
0
правда прости
Ответ дал: fanta2310
0

left { {{x^{2}-y^2=18} atop {x+y=9}} right.

left { {x^{2} -{y^2=18} atop {x=9+y}} right.

(9 + у)² - у² =18

81 + 18у + у² - у² = 18

81 + 18у = 18

18у = 18 - 81

18у = - 63

у = - 63 : 18

у = - 3,5

х - (- 3,5) = 9

х + 3,5 = 9

х = 9 - 3,5

х = 5,5

Ответ: у = - 3,5   и   х = 5,5

Ответ дал: hote
0
х+у=9 У вас 5,5-3,5 .. знак минус лишний
Ответ дал: hote
0
ошибка при выражении х=9-н
Ответ дал: hote
0
х=9-у И далее решение неверное
Ответ дал: samerxill
0
да
Ответ дал: samerxill
0
там минус лишний
Вас заинтересует