• Предмет: Химия
  • Автор: Фларик
  • Вопрос задан 8 лет назад

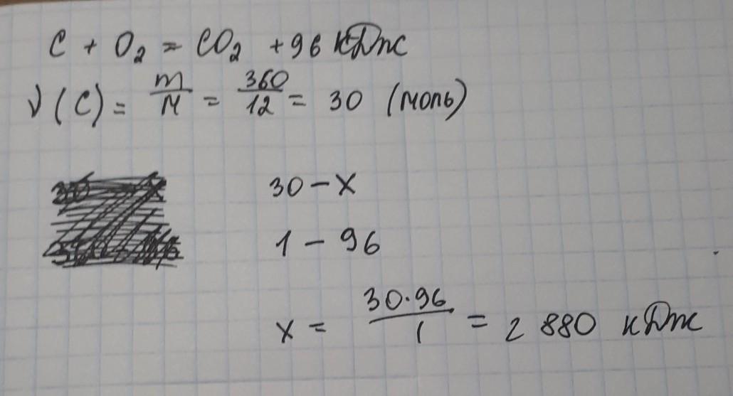
Вычислите количество теплоты которая выделится при сгорании 360г углерода, если C+O2=CO2+96 КДЖ

Ответы

Ответ дал: MiaCh
0

Решение на фото!

_______________________________

удачи))

Понравилось решение?Жми ЛУЧШИЙ!)

Приложения:
Ответ дал: svetka1574
0
360 г. Х кДж

С. +. О2. =.СО2+96 кДж

n=1 моль

М=12 г/моль

m=12 г

360 г С. -. Х кДж

12 г С. - 96 кДж

Q=360*96/12=2880 кДж
Приложения:
Вас заинтересует
10 лет назад