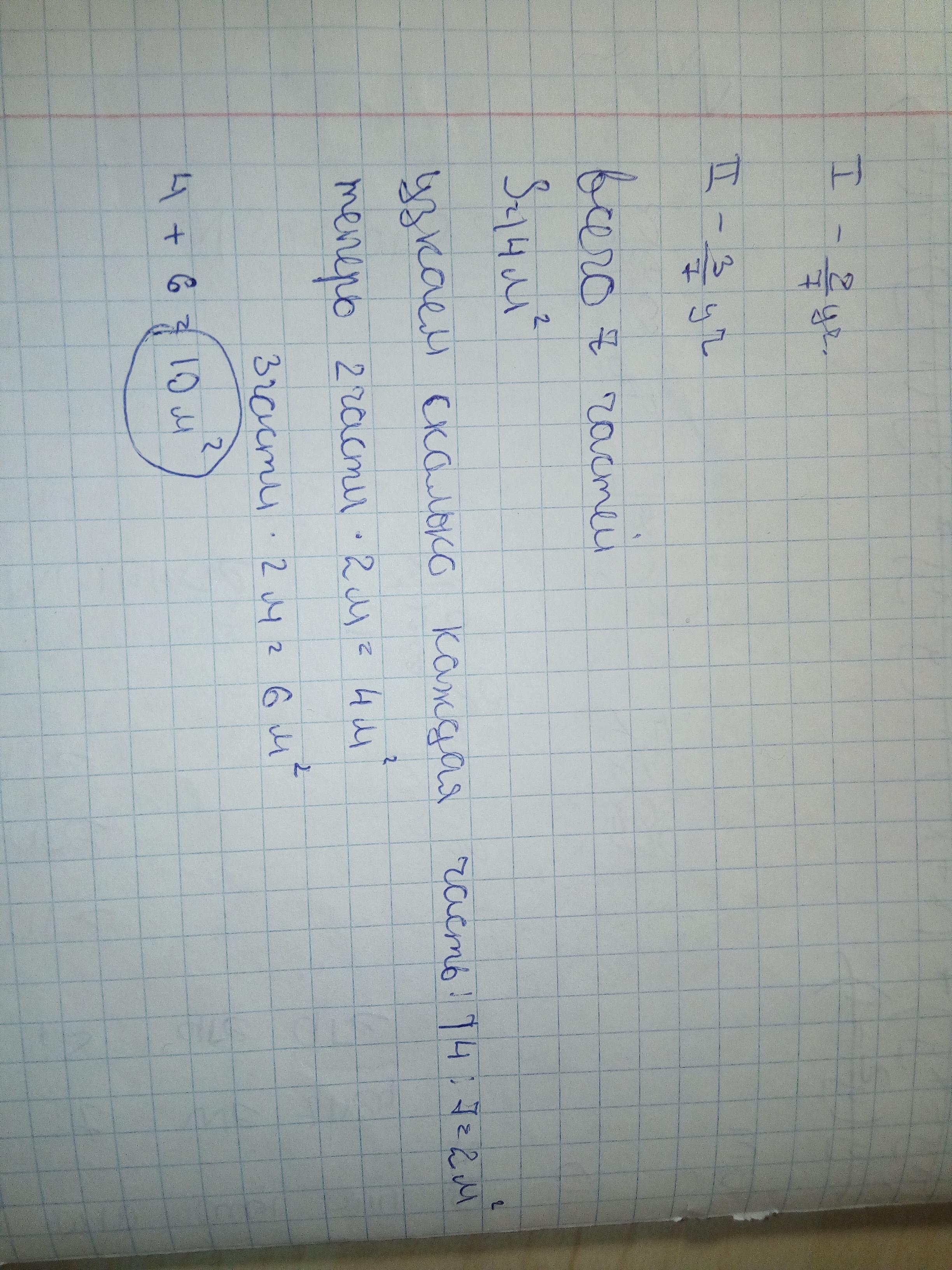
в 1 день посадили картофеля 2/7 участка, а во 2 день 3/7 участка. какая площадь ( 8 м в каводрате) была засеяна картофелем за эти два дня , если прощадь участка 14 м в квадрате? решите.
Ответы
Ответ дал:
0
2/7+3/7=5/7
Ответ 5/7 участка засажены за 2 дня
Ответ 5/7 участка засажены за 2 дня
Ответ дал:
0
Ответ:я думаю правильное решение
Если не правильно прошу не удалять
Приложения:

Ответ дал:
0
Правильно, но не рационально.
Вас заинтересует
2 года назад
3 года назад
8 лет назад
9 лет назад