• Предмет: Математика
  • Автор: 15Саша1504
  • Вопрос задан 8 лет назад

|2-(-3)| - |3-6| +х решите пжжж прошу

Приложения:

Ответы

Ответ дал: mariia6609
0

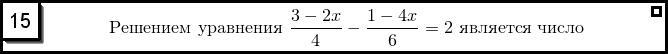
15)

3(3-2х)-2(1-4х)=24

9-6х-2+8х=24

7+2х=24

2х=24-7

2х=17

х= 17/2 (семнадцать вторых)

х=8.5

11)

-2/7 умножить 9/10(числитель)

3/14 (знаменатель)

= -х/5/6

-1/7 умножить 9/5 (числитель)

3/14 (знаменатель)

= -6х/5

(9/35/3/14- отрицательная дробь)

=-6х/5

-6/5= -6х/5

-6=-6х

6=6х

6х=6

х=1

1)

|2+3|-|-3|

|5|-3

5-3=2

Ответ дал: 15Саша1504
0
спасибо большое при большое
Вас заинтересует