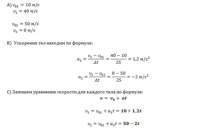
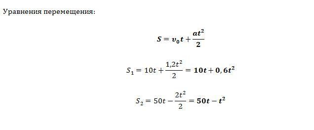
На рисунке даны графики скоростей двух тел. Определите: A) начально и конечную скорости каждого из тел. B) с каким ускорением двигались тела C) напишите уравнения скорости и перемещения для каждого тела.
Приложения:

Ответы
Ответ дал:
0
Решение во вложении:
Приложения:


Вас заинтересует
2 года назад
8 лет назад
8 лет назад
10 лет назад
10 лет назад
10 лет назад