Имеются два сосуда , содержащие 24 и 26 кг раствора кислоты различной концентрации. Если их слить вместе, то получится раствор, содержащий 39% кислоты. Если же слить равные массы этих растворов, то полученный раствор будет содержать 40% кислоты.Сколько процентов кислоты в кг первого раствора?
Ответы
Ответ дал:
0
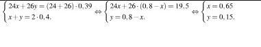
решение функции на фото
но нам нужно узнать , сколько в первом растворе содержится
24кг•0,65=15,6(в процентах 0,156%
ответ :15,6или 0,156%
но нам нужно узнать , сколько в первом растворе содержится
24кг•0,65=15,6(в процентах 0,156%
ответ :15,6или 0,156%
Приложения:

Ответ дал:
0
Мне нужно узнать не сколько кг кислоты в первом растворе, а сколько процентов кислоты в 1 кг первого раствора.
Ответ дал:
0
исправил
Ответ дал:
0
Благодарю
Вас заинтересует
2 года назад
2 года назад
3 года назад
8 лет назад
8 лет назад