• Предмет: Математика
  • Автор: esmira21
  • Вопрос задан 8 лет назад

В магазине было 240 кг фруктов.В первый день продали 1/6 части ,во второй день 3/8 части фруктов.Сколько кг фруктов осталось в магазине?

Ответы

Ответ дал: Jimin21102005
0
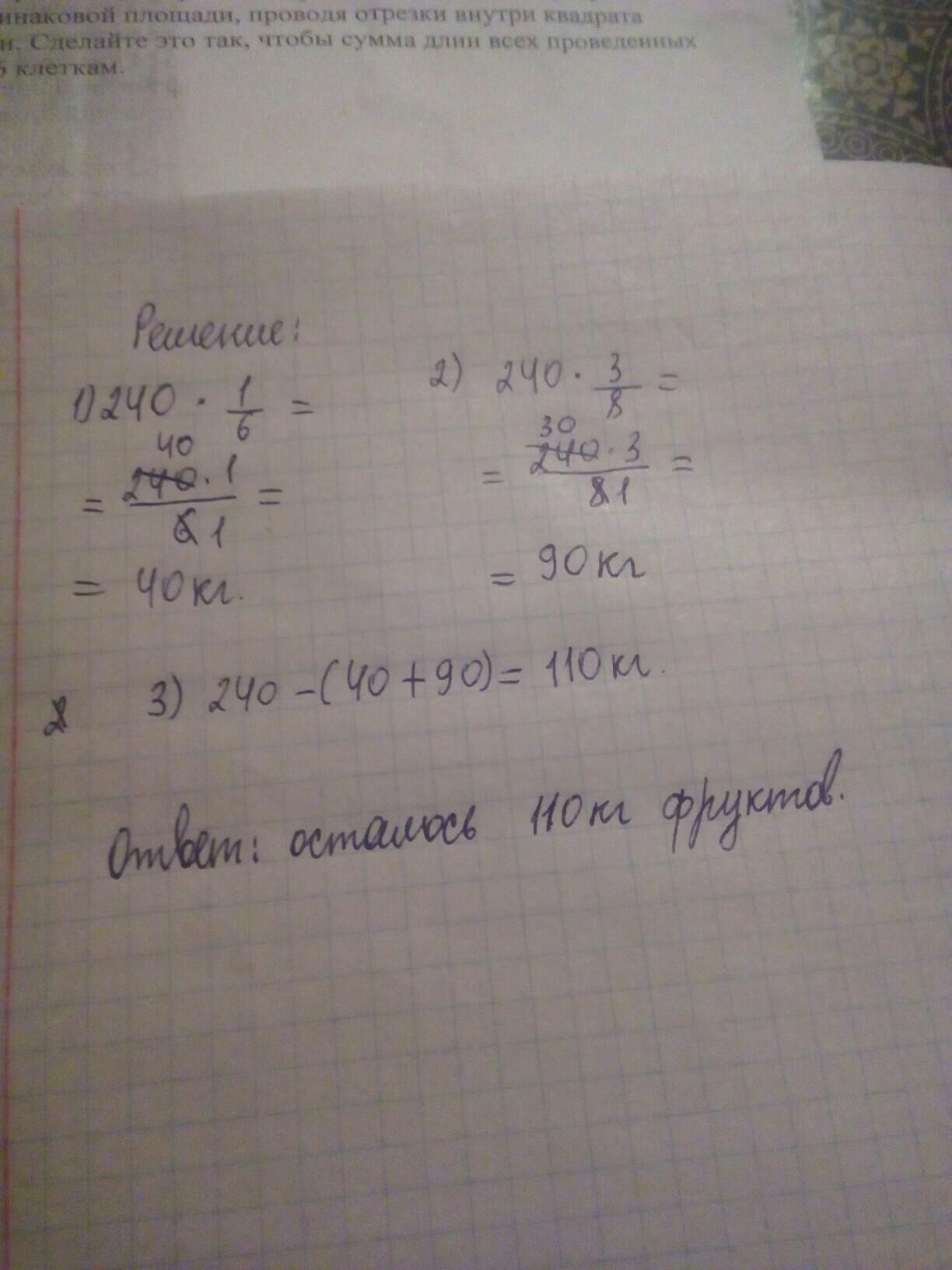
ответ во вложении

удачи.....
Приложения:
Ответ дал: xxxeol
0

Пошаговое объяснение:

Краткое условие на рисунке в приложении.

1) 1/6 + 3/8 = 13/24 - доля продана за два дня

2) 1 - 13/24 = 11/24 - доля осталась

Часть от целого находим умножением на её долю.

3) 240 * 11/24 = (240/24)*11 = 110 кг - осталось - ответ.

ИЛИ (хуже)

1) 240 кг * 1/6 = 40 кг - в первый день

2) 240 * 3/8 = 30*3 = 90 кг - за второй день.

3) 240 - 40 - 90 = 240 - 130 = 110 кг - осталось - ответ.

Выбирайте более понятное.

Приложения:
Вас заинтересует