• Предмет: Математика
  • Автор: shurakozhevnik
  • Вопрос задан 8 лет назад

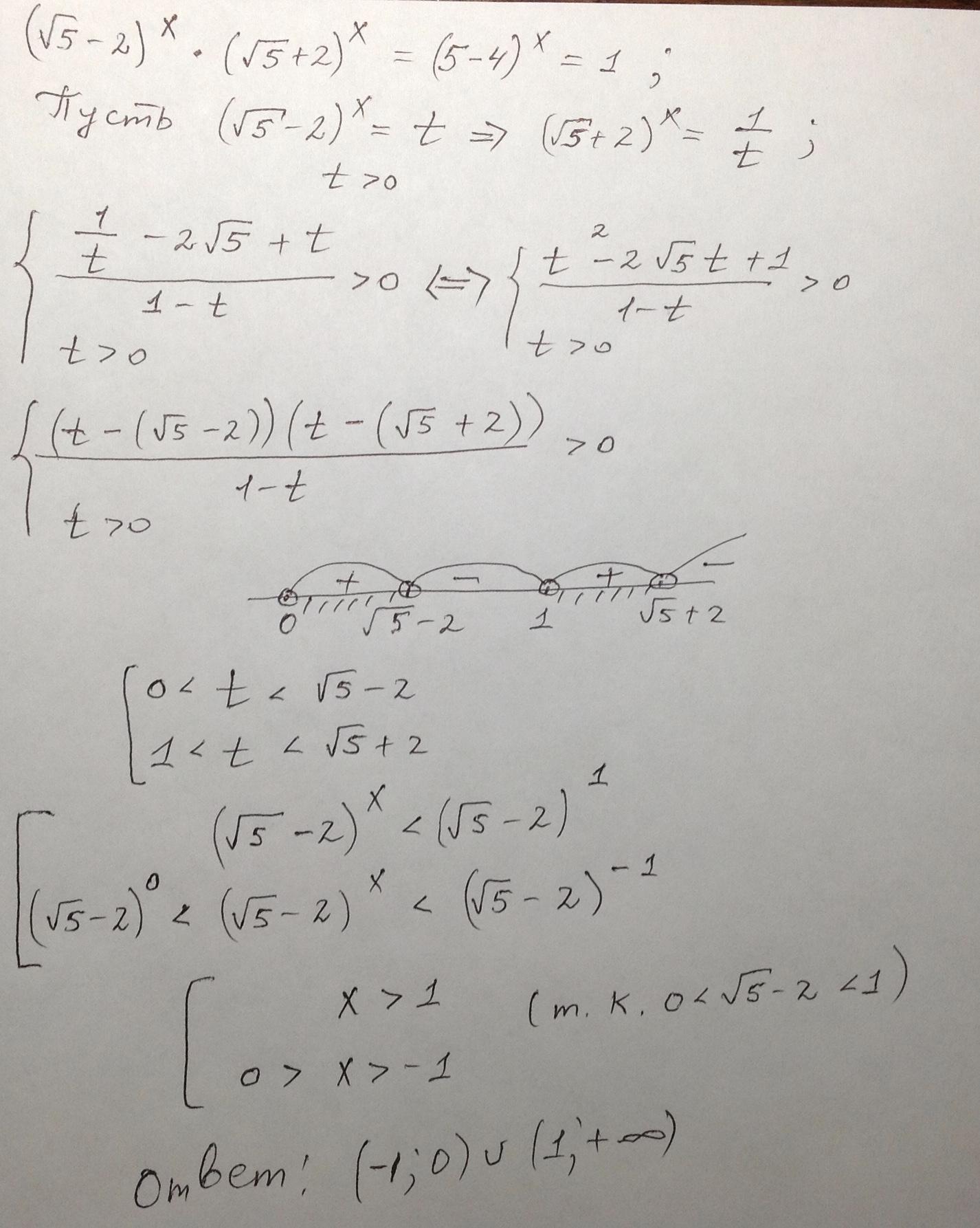
Помогите решить неравенство (егэ 15)

Приложения:

Ответы

Ответ дал: antonovm
0

Ответ: (-1 ; 0) ∪ ( 1 ; +∞ )

Пошаговое  объяснение :

Приложения:
Ответ дал: shurakozhevnik
0
Подскажите, как получилось после квадратного уравнения такие корни?
Ответ дал: antonovm
0
по теореме Виета или можно решить как квадратное ( дети говорят " через дискриминант " )
Ответ дал: antonovm
0
произведение этих скобочек 1 , а сумма 2 корня из 5 , значит они корни ( по теореме , обратной к теореме Виета )
Ответ дал: antonovm
0
a*b = 1 => b = a ^ ( -1) - это комментарий к предпоследней совокупности
Ответ дал: shurakozhevnik
0
Спасибо)
Вас заинтересует