• Предмет: Математика
  • Автор: sofia6715
  • Вопрос задан 8 лет назад

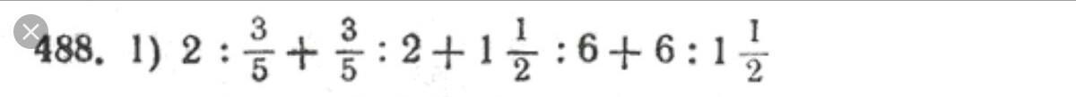
как решить этот пример?​

Приложения:

Ответы

Ответ дал: maymr
0

1) 2:3/5=2*5/3=10/3=3 1/3

2) 3/5:2=3/5*1/2=0.3

3) 1 1/2:6=3/2:6=3/2*1/6=1/4=0.25

4) 6: 1 1/2=6:3/2=6*2/3=4

5) 3 1/3+3/10=100/30+9/30=109/30=3 19/30

6) 3 19/30+1/4=109/30+1/4=233/60=3 53/60

7) 3 53/60+4=7 53/60

Вас заинтересует