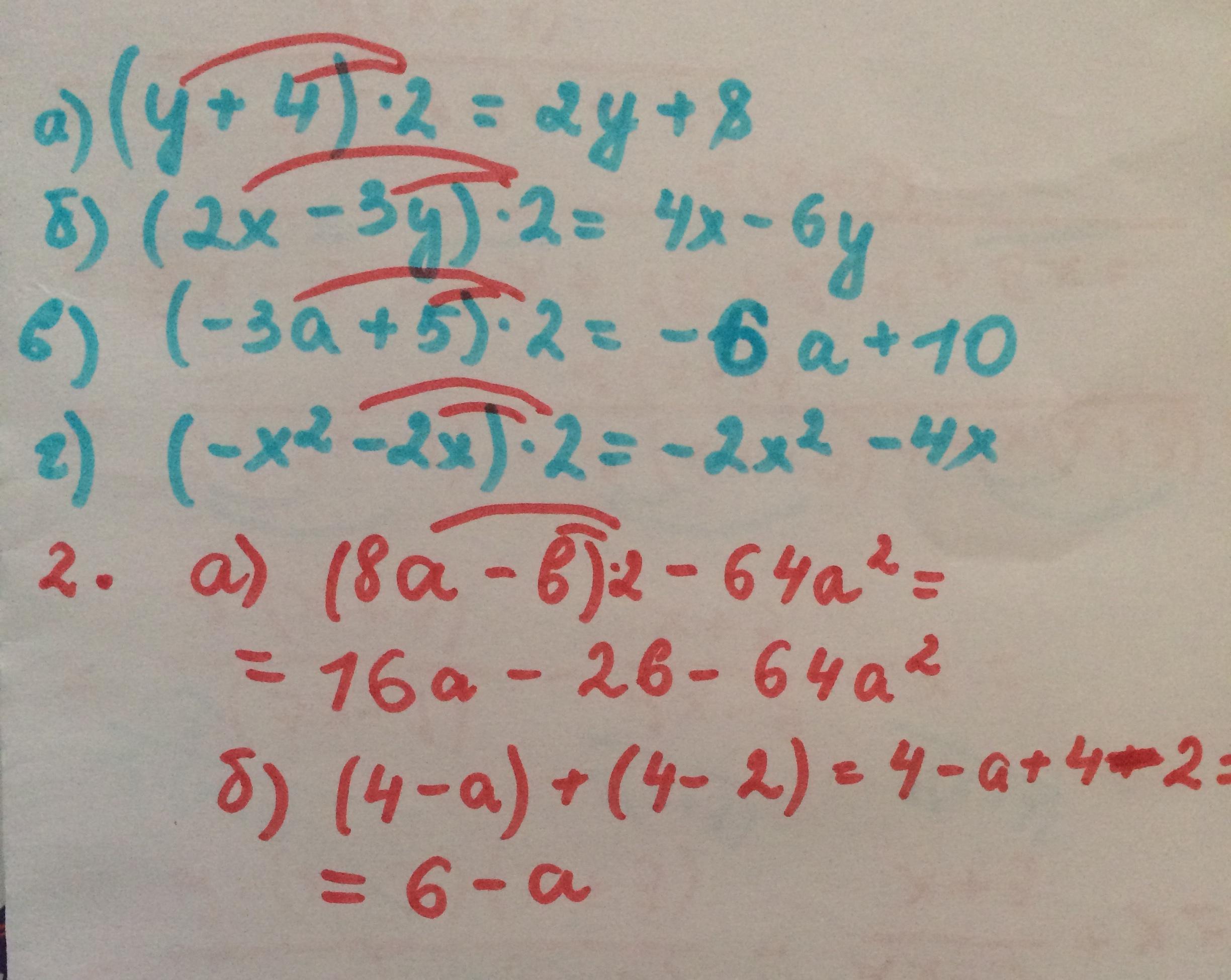
1. Преобразуйте в многочлен.
а) (у + 4)2; б) (2х – 3у)2;
в) (–3а + 5)2; г) (–х2 – 2х)2.
2. Упростите выражение.
а) (8а – b)2 – 64а2; б) а (4 – а) + (4 – а)2.
Ответы
Ответ дал:
0
Ответ:
2y+8
4X-6Y
-6A+10
-2X^2-4X
Пошаговое объяснение:
Приложения:

Ответ дал:
0
Спасибо, только вместо 2 в примерах там степень 2
Ответ дал:
0
Исправляюсь:
Ответ дал:
0
(y+4)^2=y^2+8y+16; (2x-3y)^2=4x^2-12xy+9y^2; (-3a+5)^2=9a^2-30a+25; (-x^2-2x)^2=x^4+4x^3+4x
Ответ дал:
0
(8a-b)^2-64a^2=64a^2-16ab+b^2-64a^2=-16ab+b^2=-b(16a-b); (4-a)+(4-a)^2=(4-a)(1+4-a)=(4-a)(5-a)
Вас заинтересует
2 года назад
2 года назад
3 года назад
8 лет назад