Ответы
Ответ дал:
0
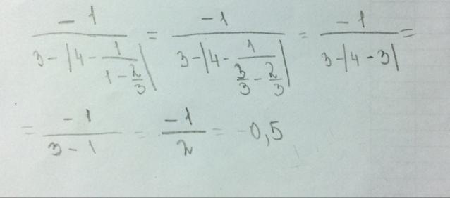
Это очееееень легко
Приложения:

Ответ дал:
0
можешь расписать в строчку по действиям ?
Вас заинтересует
3 года назад
3 года назад
8 лет назад
9 лет назад