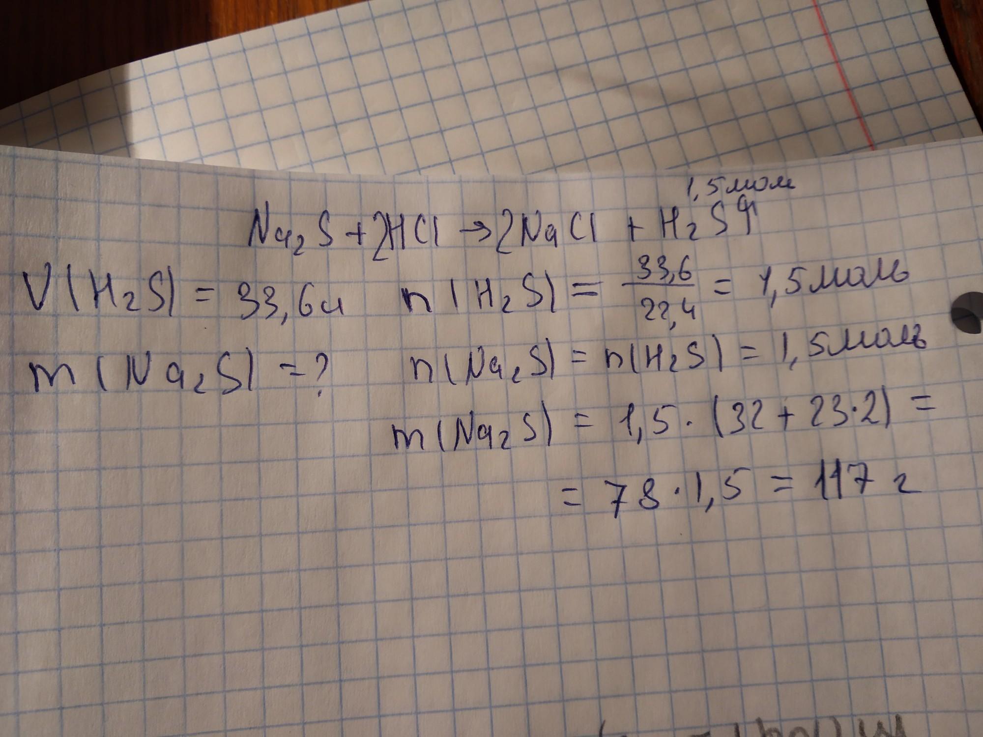
В результате взаимодействия сульфида натрия с соляной кислотой образовался газ объемом 33,6 литра. Определить массу сульфида натрия вступившегося в реакцию. Помогите пожалуйста!
Ответы
Ответ дал:
0
ответ масса сульфида 117г
Приложения:
Вас заинтересует
2 года назад
2 года назад
3 года назад
3 года назад
9 лет назад
9 лет назад
10 лет назад
10 лет назад