• Предмет: Алгебра
  • Автор: liza74839
  • Вопрос задан 8 лет назад

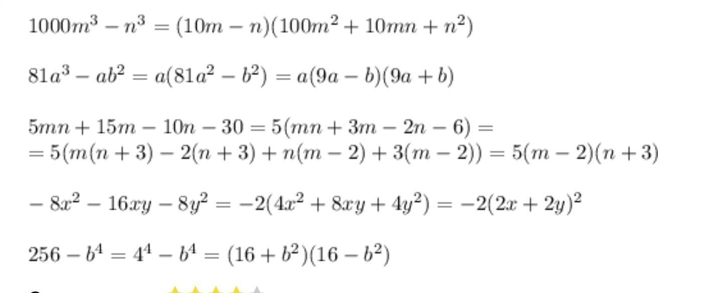
разложить на множители:
1)1000m³-n³
2)81a³-ab³
3)-8x²-16xy-8y²
4)5mn+15m-10n-30
5)256-b⁴
умоляю помогите

Ответы

Ответ дал: eeeeee2822
0

вот на картинке посмотри

Приложения:
Вас заинтересует