• Предмет: Алгебра
  • Автор: Jaghed05
  • Вопрос задан 8 лет назад

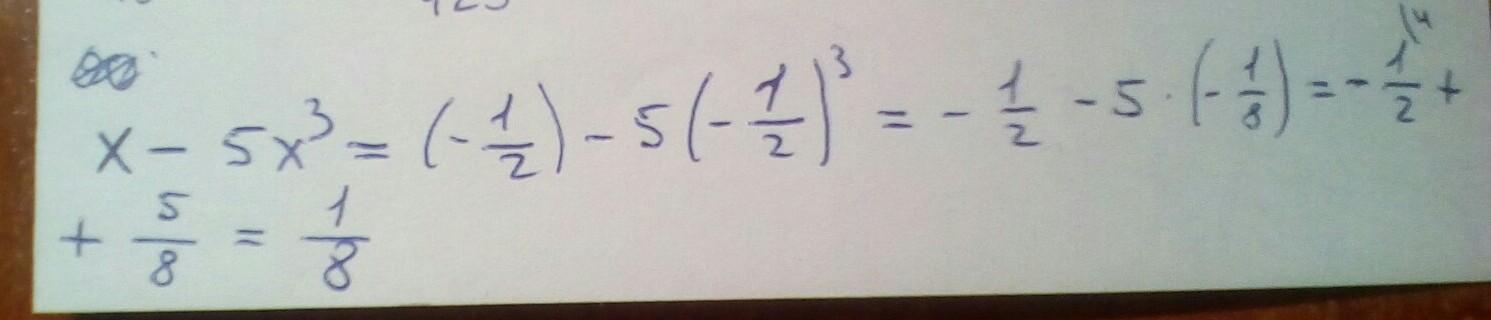
Найдите значение выражения. Пожалуйста!

Приложения:

Ответы

Ответ дал: asialoban
0

Вот решение на фотке

Приложения:
Ответ дал: Jaghed05
0
Спасибо
Ответ дал: darina1855
0
Пожалуйста)
Вас заинтересует