• Предмет: Алгебра
  • Автор: Cerer2006
  • Вопрос задан 8 лет назад

Выполните умножение
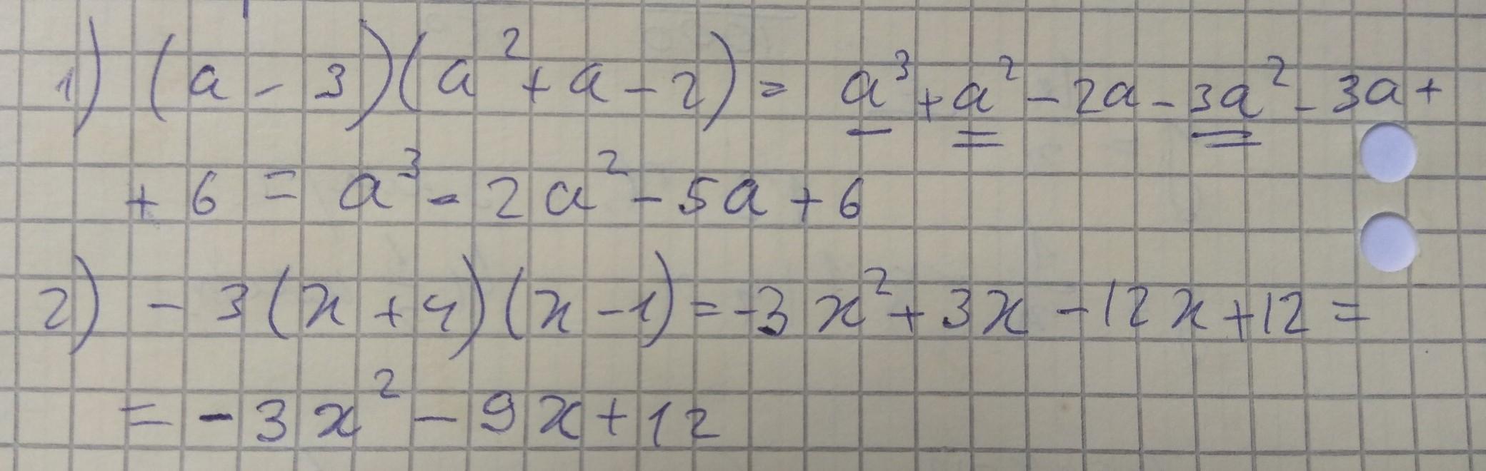
1)(a-3)(a²+a-2)
2)-3(x+4)(x-1)

Ответы

Ответ дал: vershitelsudeb
0

Вопросы пиши в комментарии

Приложения:
Ответ дал: alesyaperova
0

Легко и просто

1) {a}^{2}  times a + a times a - 2 times a  \ - 3 times  {a}^{2}  - 3 times a + 3 times 2 =  \  {a}^{3}  +  {a}^{2}  - 2a - 3 {a}^{2}  - 3a + 6 =

 {a}^{3}  - 2 {a}^{2}  - 5a + 6

2) - 3( {x}^{2}  - x + 4x - 4) =  \  - 3( {x}^{2}  + 3x - 4) =  \  - 3 {x}^{2}  - 9x + 12

Приложения:
Ответ дал: Cerer2006
0
Спасибо помогли
Ответ дал: alesyaperova
0
не за что
Вас заинтересует