Ответы
Ответ дал:
0
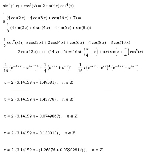
sin^4 4x + cos^2 x = 2sin4x * cos ^4 x
1/8 (4 cos(2 x)-4 cos(8 x)+cos(16 x)+7) = 1/8 (4 sin(2 x)+6 sin(4 x)+4 sin(6 x)+sin(8 x))
1/2 cos^2(x) (-5 cos(2 x)+2 cos(4 x)+cos(6 x)-4 cos(8 x)+3 cos(10 x)-2 cos(12 x)+cos(14 x)+6) = 16 sin(pi/4-x) sin(x) sin(x+pi/4) cos^5(x)
1/16 (e^(-4 i x)-e^(4 i x))^4+1/4 (e^(-i x)+e^(i x))^2 = 1/16 i (e^(-i x)+e^(i x))^4 (e^(-4 i x)-e^(4 i x))
x~~2. (3.14159 n-1.49581), n element Z
x~~2. (3.14159 n-1.43778), n element Z
x~~2. (3.14159 n+0.0749867), n element Z
x~~2. (3.14159 n+0.133013), n element Z
x~~2. (3.14159 n - (1.26876+0.0590281 i) ), n element Z
файл
1/8 (4 cos(2 x)-4 cos(8 x)+cos(16 x)+7) = 1/8 (4 sin(2 x)+6 sin(4 x)+4 sin(6 x)+sin(8 x))
1/2 cos^2(x) (-5 cos(2 x)+2 cos(4 x)+cos(6 x)-4 cos(8 x)+3 cos(10 x)-2 cos(12 x)+cos(14 x)+6) = 16 sin(pi/4-x) sin(x) sin(x+pi/4) cos^5(x)
1/16 (e^(-4 i x)-e^(4 i x))^4+1/4 (e^(-i x)+e^(i x))^2 = 1/16 i (e^(-i x)+e^(i x))^4 (e^(-4 i x)-e^(4 i x))
x~~2. (3.14159 n-1.49581), n element Z
x~~2. (3.14159 n-1.43778), n element Z
x~~2. (3.14159 n+0.0749867), n element Z
x~~2. (3.14159 n+0.133013), n element Z
x~~2. (3.14159 n - (1.26876+0.0590281 i) ), n element Z
файл
Приложения:
Ответ дал:
0
в решалках и я могу решить, разбери попробуй, я не понимаю, что и как тут половину
Ответ дал:
0
вставь в word и все поймешь
Ответ дал:
0
и? ничем не отличается. Дурака то из меня не делай.
Ответ дал:
0
добавила файл
Вас заинтересует
3 года назад
3 года назад
8 лет назад
8 лет назад
11 лет назад
11 лет назад
11 лет назад