Ответы
Ответ дал:
0
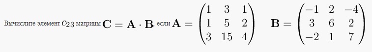
Ответ c23 равно 100
Приложения:

Вас заинтересует
2 года назад
2 года назад
8 лет назад
8 лет назад
10 лет назад