• Предмет: Математика
  • Автор: звука
  • Вопрос задан 8 лет назад

выполните действия 3 2/5+1 4/5+2 3/5+1 3/5​

Ответы

Ответ дал: Jimin21102005
0
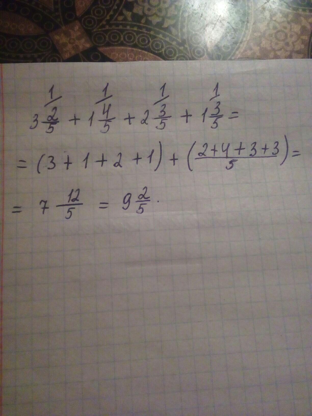
ответ во вложении.............
Приложения:
Ответ дал: звука
0
Спасибо большое )
Ответ дал: Jimin21102005
0
не за что
Ответ дал: Jimin21102005
0
)))
Ответ дал: militskaianina1997
0

Ответ:

9 2/5

Пошаговое объяснение:

3 2/5+1 4/5+2 3/5+1 3/5​ = 7 12/5 = 9 2/5

Приложения:
Вас заинтересует