Ответы
Ответ дал:
0
Ответ:
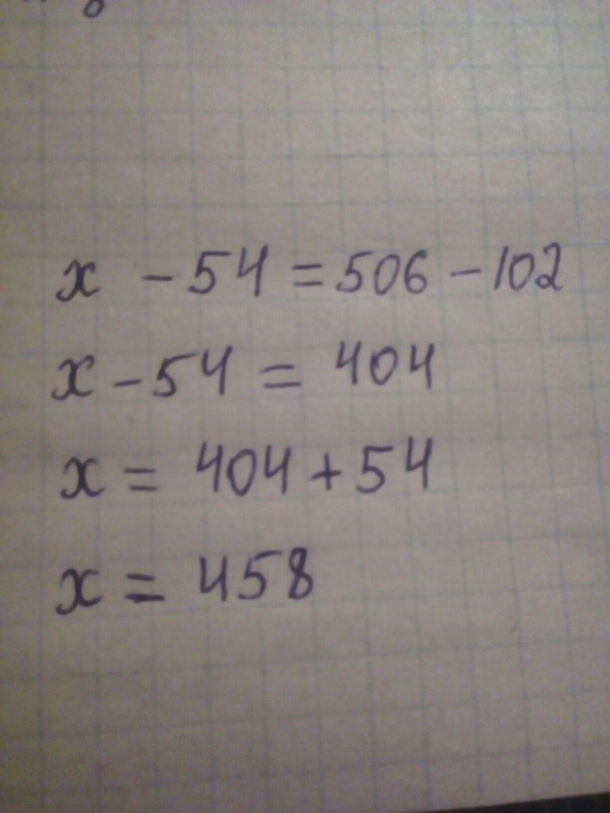
x-54=506-102
x=404+54
x=458
Пошаговое объяснение:
Ответ дал:
0
ответ во вложении............
Приложения:

Вас заинтересует
2 года назад
2 года назад
3 года назад
3 года назад
8 лет назад
9 лет назад
9 лет назад