• Предмет: Математика
  • Автор: temo4ka12
  • Вопрос задан 8 лет назад

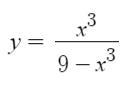
Найти точки перегиба функции (х, у)

Приложения:

Ответы

Ответ дал: dnepr1
0

Вторая производная заданной функции равна:

y' = (54x(2x³ + 9))/((9 - x³)²).

Приравняем нулю (достаточно числитель):

54x(2x³ + 9) = 0.

Отсюда получаем 2 точки перегиба:

х = 0,  

2x³ + 9 = 0,  х = ∛(-9/2) ≈ -1,65096.

Ответ дал: saldoroad12
0
Помогите мне пожалуйста с физикой
Ответ дал: saldoroad12
0
https://znanija.com/task/31806070
Ответ дал: saldoroad12
0
Есть вопрос за 98 баллов
Ответ дал: saldoroad12
0
https://znanija.com/task/31809428
Вас заинтересует