Составьте блок-схему (на большом листе, аккуратно по линейке выполненную) для
решения следующей задачи
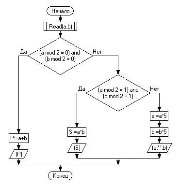
Вводится два числа: A и B. Если оба числа четные, то вычислите их сумму(S) и выведите
значение S на экран. Если оба - нечетные, то найдите произведение этих чисел(P) и выведите
значение P на экран. Иначе, увеличьте все числа в пять раз (A:=A*5, B:=B*5) и выведите
значение А и В на экран .
Ответы
Ответ дал:
0
Перересуйте куда вам нужно
Приложения:
Ответ дал:
0
спасибо
Вас заинтересует
2 года назад
3 года назад
3 года назад
9 лет назад
10 лет назад