• Предмет: Алгебра
  • Автор: flutterrshy
  • Вопрос задан 8 лет назад

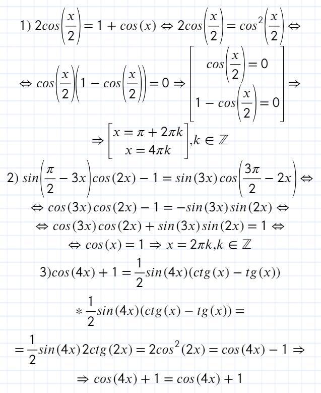
10 класс. 4 и 5 задания.

Приложения:

Ответы

Ответ дал: dimaogol2000
0

/////////////////////////////////////////////////////

Приложения:
Вас заинтересует