• Предмет: Алгебра
  • Автор: sashamauer
  • Вопрос задан 8 лет назад

решите по действиям пж!!№!???)))

Приложения:

Ответы

Ответ дал: Dedagenn
0

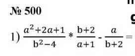
=(а+1)²*(в+2)/[(в-2)(в+2)(а+1)]- а/(в+2)=(а+1)/(в-2)-а/(в+2)

Ответ дал: Dedagenn
0
/ -знак дроби, деления. Я не могу не в строчку
Ответ дал: sashamauer
0
ясно
Ответ дал: Dedagenn
0
в другом примере также делай, ...+m(m²-1)=m(m+1)(m-1) разность квадратов
Ответ дал: Dedagenn
0
а внизу (m+1)(m+1) сокращай
Вас заинтересует