• Предмет: Математика
  • Автор: denislav06
  • Вопрос задан 8 лет назад

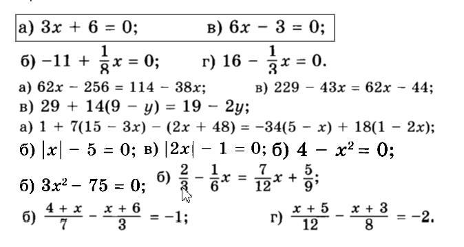
Здравствуйте! Помогите пожалуйста решить

Приложения:

Ответы

Ответ дал: lana8300
0

Ответ:

Пошаговое объяснение:

пиши пока это,сейчас решу остальное

Приложения:
Ответ дал: denislav06
0
пришли пожалуйста остальное
Ответ дал: lana8300
0
актуально?
Вас заинтересует