• Предмет: Математика
  • Автор: Niri2435
  • Вопрос задан 8 лет назад

Решите пожалуйста что написано на доске​

Приложения:

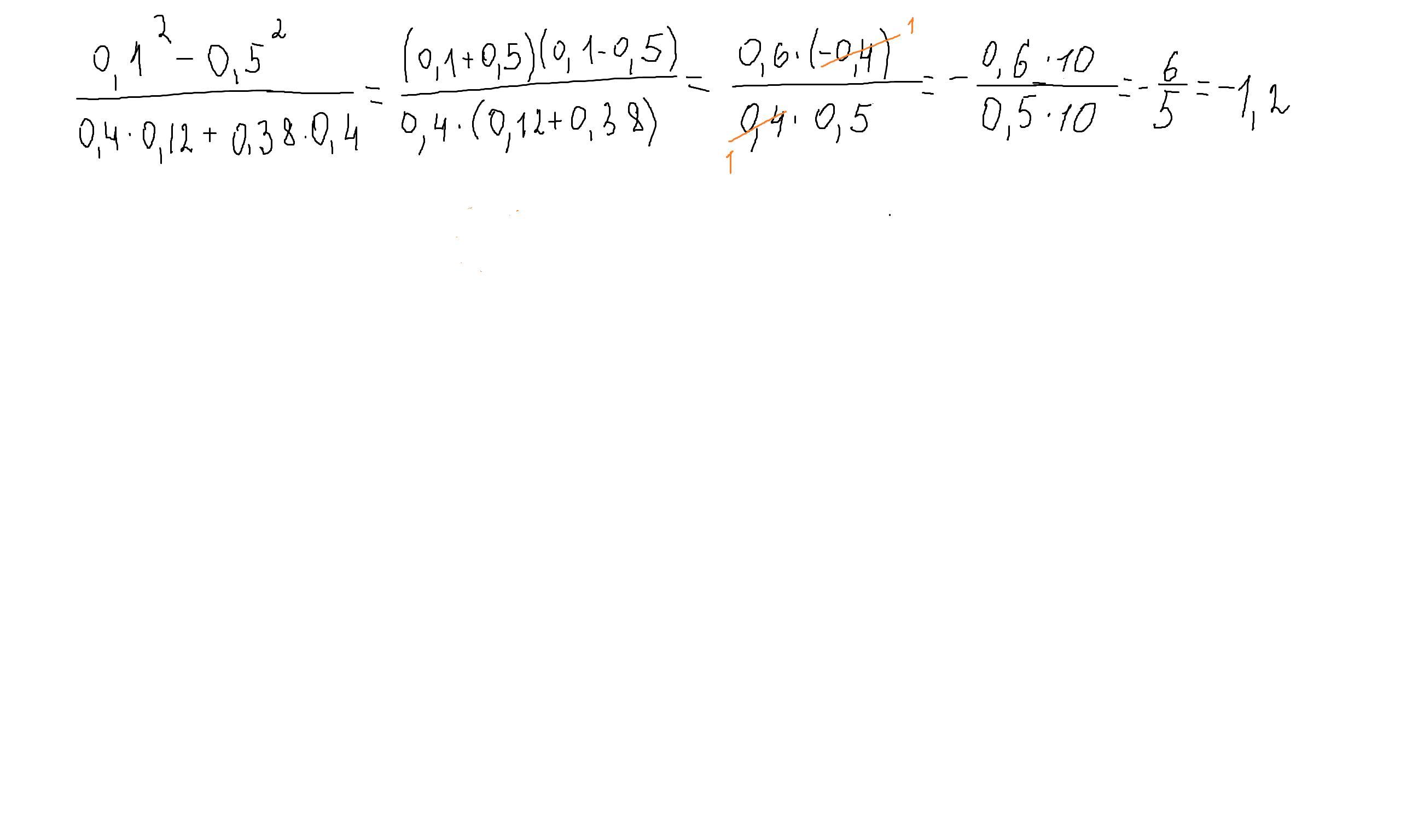
Ответы

Ответ дал: parus77
0

Ответ:

Пошаговое объяснение:

смотри решение внизу

Приложения:
Вас заинтересует