• Предмет: Алгебра
  • Автор: Zoom47Zoom
  • Вопрос задан 8 лет назад

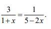
Решить уравнение.
.....................................

Приложения:

Ответы

Ответ дал: nicecat13
0

15-6х=1+х

-7х=-14

х=2

Ответ: х=2

Вас заинтересует