Ребята, выручайте! Без Вас никак!
Помогите разобраться в теме
Решите и подробно распишите!
Любую задачку, любое количество!
За отдельную благодарность можете Всё, хочу на ваших решениях понять тему и научиться решать эти тяжки задачи! Надеюсь на Вас!
Заранее огромное спасибо!
Помоги :)
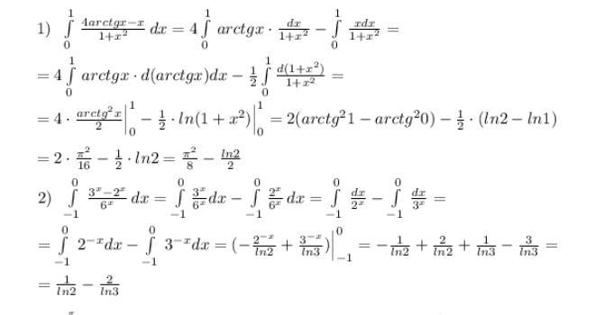
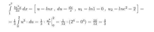
Приложения:

Ответы
Ответ дал:
0
_______________________
Приложения:

Ответ дал:
0
..............................................................................................................................
Приложения:


Вас заинтересует
2 года назад
3 года назад
3 года назад
8 лет назад
8 лет назад
9 лет назад