• Предмет: Алгебра
  • Автор: Ksuysha13
  • Вопрос задан 8 лет назад

Ребята, выручайте! Без Вас никак!
Помогите разобраться в теме
Решите и подробно распишите!
Любую задачку, любое количество!
За отдельную благодарность можете Всё, хочу на ваших решениях понять тему и научиться решать эти тяжки задачи! Надеюсь на Вас!
Заранее огромное спасибо!
Помоги :)​

Приложения:

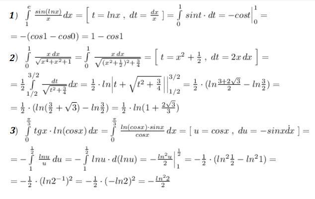
Ответы

Ответ дал: Arch1tect
0

____________________

Приложения:
Ответ дал: NNNLLL54
0

................................................................................................................................

Приложения:
Вас заинтересует