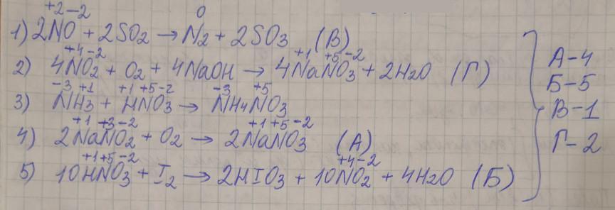
Соотнесите схемы изменения степени окисления азота и уравнения реакций.
Схемы изменения степени окисления азота
A) N+3 → N+5 В) N+2 → N0
Б) N+5 → N+4 Г) N+4 → N+5
Уравнения реакций
1) 2NO + 2SO2 → N2 + 2SO3
2) 4NO2 + O2 + 4NaOH → 4NaNO3 + 2H2O
3) NH3 + HNO3 → NH4NO3
4) 2NaNO2 + O2 → 2NaNO3
5) 10HNO3 + I2 → 2HIO3 + 10NO2 + 4H2O
Ответы
Ответ дал:
0
Решение на прикрепленной иллюстрации.
Приложения:

Вас заинтересует
2 года назад
3 года назад
8 лет назад
9 лет назад