• Предмет: Математика
  • Автор: aleksejaleksej2
  • Вопрос задан 8 лет назад

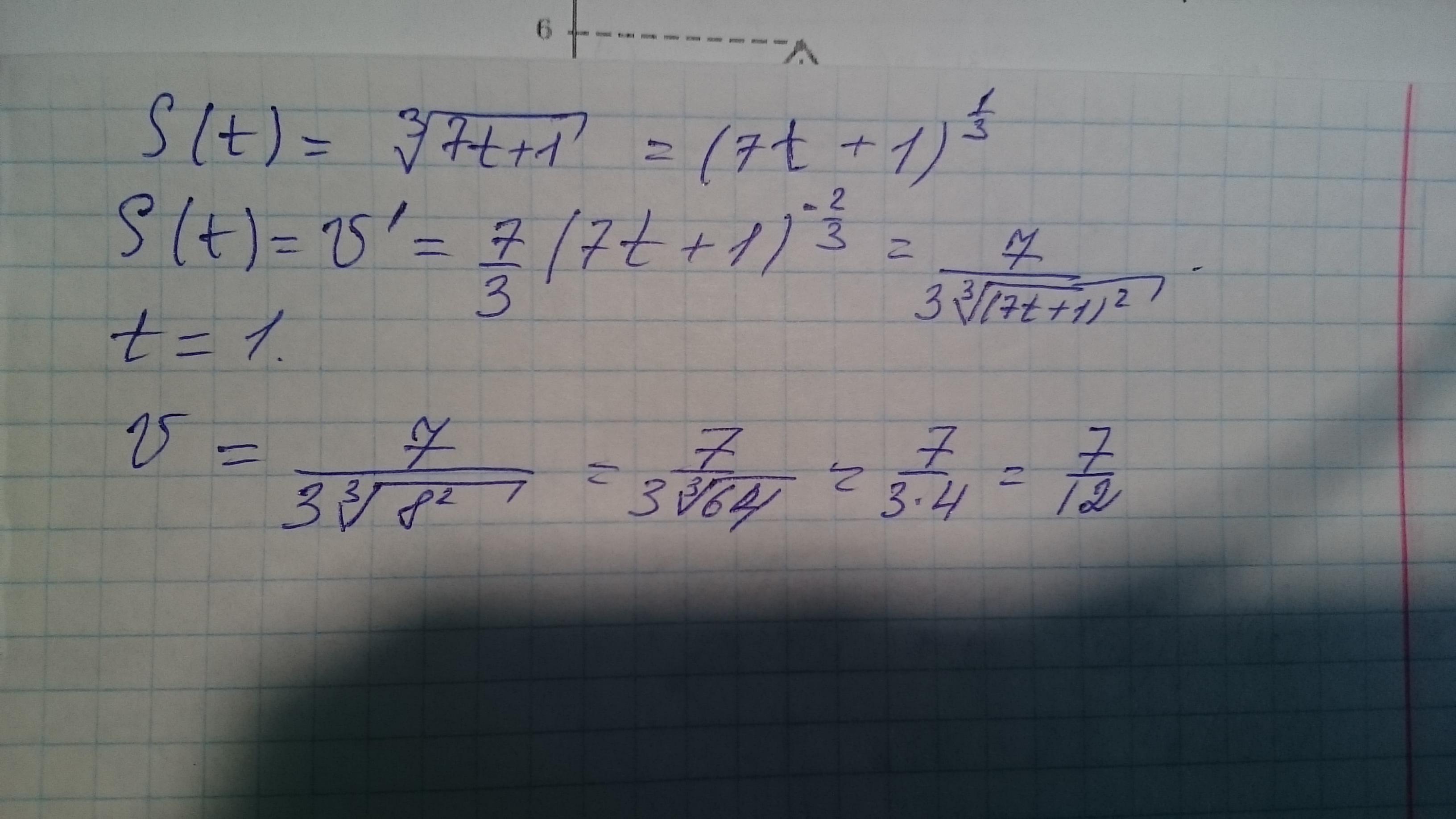
Решите задачу пожалуйста

Приложения:

Ответы

Ответ дал: Butsyk
0

Производную нужно брать и подставлять t

Приложения:
Вас заинтересует