• Предмет: Алгебра
  • Автор: ЛюськаХартвилия
  • Вопрос задан 8 лет назад

Ребят умоляю помогите! Это из uztest
Плиииииииииииззззззз:

Приложения:

Ответы

Ответ дал: Universalka
0

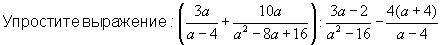
1)frac{3a}{a-4}+frac{10a}{a^{2}-8a+16 }=frac{3a}{a-4}+frac{10a}{(a-4)^{2} }=frac{3a^{2}-12a+10a }{(a-4)^{2} }=frac{3a^{2}-2a }{(a-4)^{2} }\\2)frac{3a^{2} -2a}{(a-4)^{2} }:frac{3a-2}{a^{2}-16 }=frac{a(3a-2)}{(a-4)^{2} }*frac{(a-4)(a+4)}{3a-2}=frac{a(a+4)}{a-4}\\3)frac{a(a+4)}{a-4}-frac{4(a+4)}{a-4}=frac{a(a+4)-4(a+4)}{a-4}=frac{(a+4)(a-4)}{a-4}=a+4

Ответ : a + 4

Ответ дал: ЛюськаХартвилия
0
Спасибо)
Ответ дал: Universalka
0
Пожалуйста
Ответ дал: wqwwqwqvhjv
0

Решение

  1. (3а/а-4+10а/(а-4)²)*а²-16/3а-2-4а+16/4-а
  2. 3а(а-4)+10а/(а-4)²*(а-4)(а+4)/3а-2-4а+16/а-4
  3. 3а²-12а+10а/а-4*а+4/3а-2-4а+16/а-4
  4. 3а²-2а/а-4*а+4/3а-2-4а+16/а-4
  5. а(3а-2)/а-4*а+4/3а-2-4а+16/а-4
  6. а/а-4*(а+4)-4а+16/а-4
  7. а²+4а/а-4-4а+16/а-4
  8. а²+4а-(4а+16)/а-4
  9. а²+4а-4а-16/а-4
  10. (а-4)(а+4)/а-4

Ответ

а+4

Вас заинтересует