• Предмет: Физика
  • Автор: TofuBish
  • Вопрос задан 8 лет назад

Как изменится период свободных электромагнитных колебаний в контуре при увеличении емкости конденсатора в 4 раза:
1) уменьшится в 2 раза
2) увеличится в 2 раза
3) увеличится в 4 раза
4) не изменится

Ответы

Ответ дал: J1raf1k
0

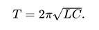
По формуле Томсона видно, что при увеличении емкости в 4 раза период увеличивается в корень из 4 раз, то есть в 2. Таким образом, вариант ответа 2

Приложения:
Вас заинтересует