• Предмет: Алгебра
  • Автор: tanya3467
  • Вопрос задан 8 лет назад

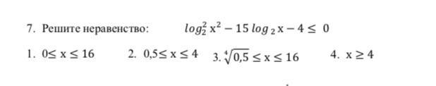
помогите пожалуйста. В тупике

Приложения:

Ответы

Ответ дал: shavrinatv
0

1234567890йукенгщззххх

Приложения:
Ответ дал: tanya3467
0
Спасибо большое, выручили
Вас заинтересует