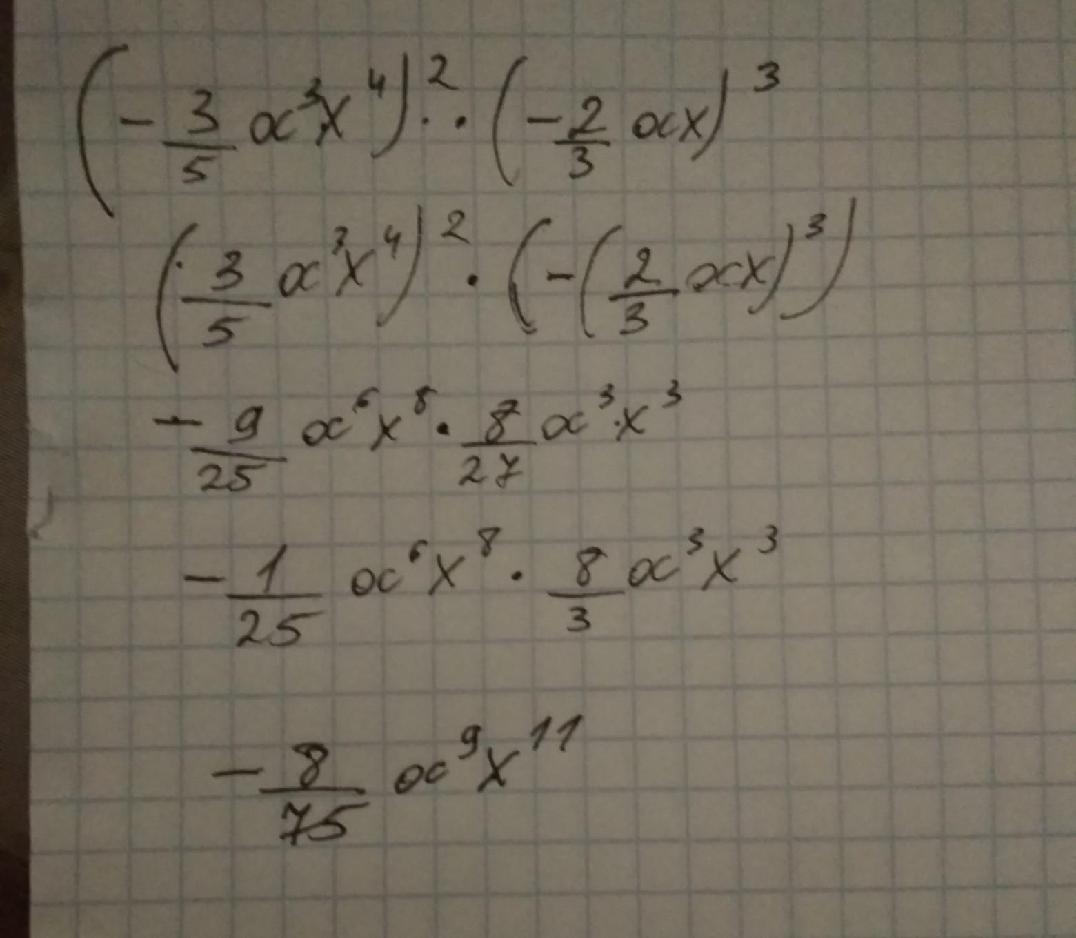
Представьте в виде одночлена стандартного вида. Выражение смотрите на фото. Пожалуйста помогите! Очень надо, заранее спасибо
Приложения:
Ответы
Ответ дал:
0
~•~•~•ZLOY_TIGROVSKIY~•~•~•
Приложения:
Вас заинтересует
2 года назад
2 года назад
3 года назад
3 года назад
9 лет назад
9 лет назад
10 лет назад
10 лет назад