• Предмет: Математика
  • Автор: kulpunaillllmk
  • Вопрос задан 8 лет назад

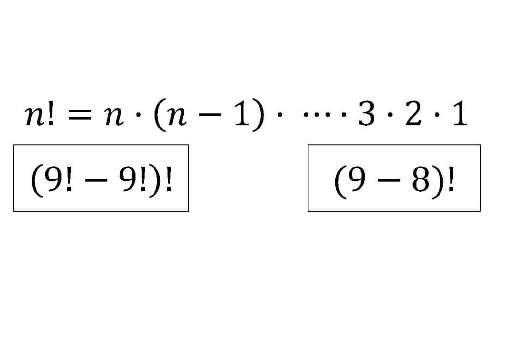
математики пж, помогите , какой из них больше . подробнее

Приложения:

Ответы

Ответ дал: cambogiyt
0

1) (9!-9!)!=0!=1

2) (9-8)!=1!=1

Вывод: они равны

Вас заинтересует