• Предмет: Алгебра
  • Автор: ami1702
  • Вопрос задан 8 лет назад

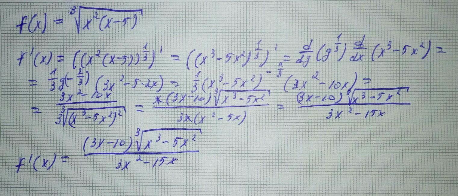
нужно найти производную

Приложения:

Ответы

Ответ дал: QDominus
0

Ответ во вложении...

Приложения:
Вас заинтересует