• Предмет: Алгебра
  • Автор: dvsdffssfds58679678
  • Вопрос задан 8 лет назад

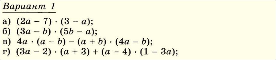
помогите пж по алгебре даю 34 балла
сделать 2 варианта

Приложения:

Ответы

Ответ дал: archontoro
0

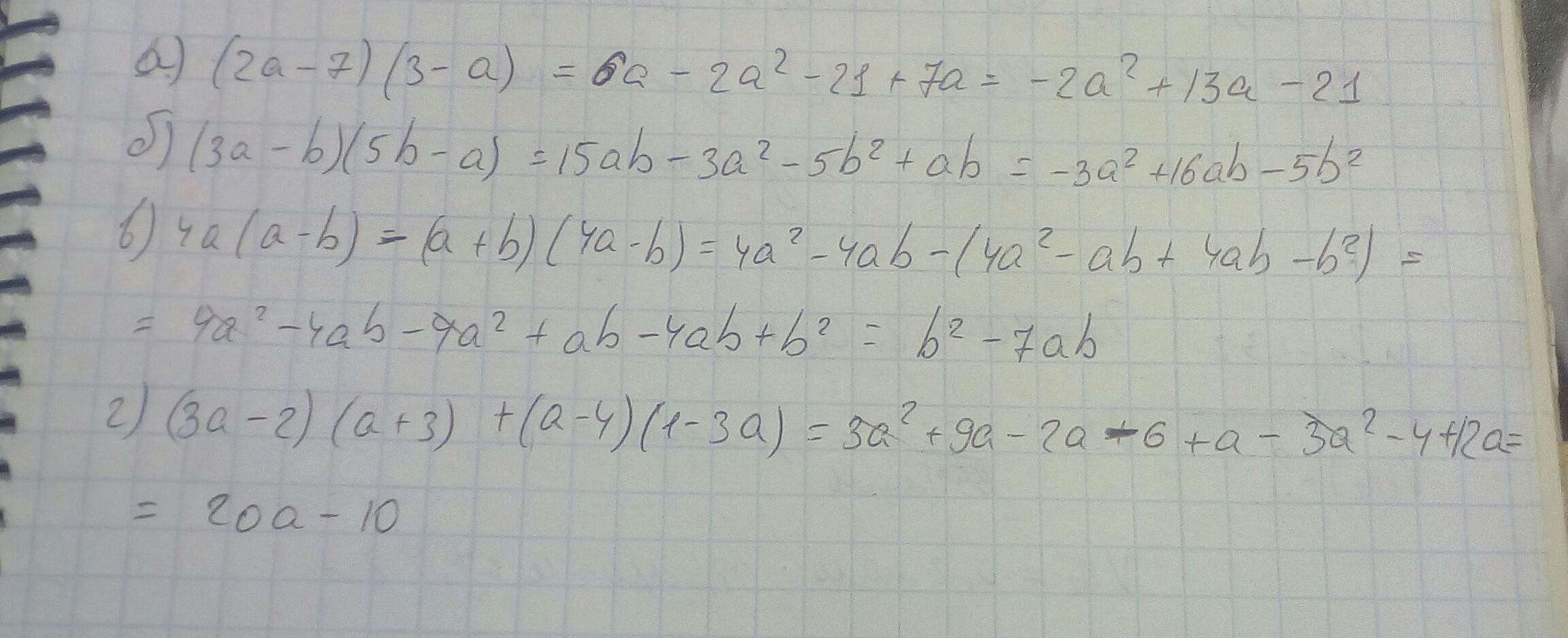
Решение на фотографии

Приложения:
Ответ дал: dvsdffssfds58679678
0
спс братик
Ответ дал: mirzeynal9
0

а)-2а^2+13а-21

б)16аb-3a^2-5b^2

в)-7ab+b^2

г)20а-10

Приложения:
Вас заинтересует