Дам 20 баллов.
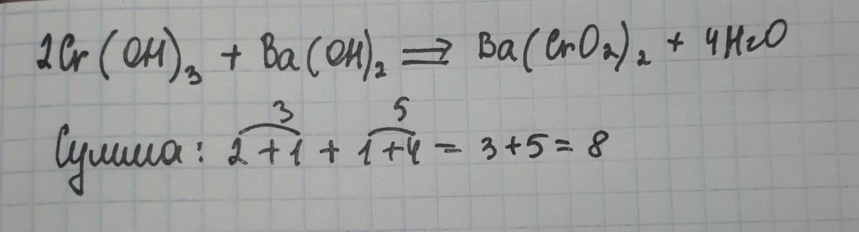
Напиши уравнение химической реакции, протекающей при взаимодействии гидроксида хрома (III) с раствором гидроксида бария.
Вычисли, чему равна сумма коэффициентов в уравнении этой химической реакции, и введи ее в качестве ответа.
Ответ:
Приложения:

Ответы
Ответ дал:
0
Решение на фото!
_______________________________
удачи))
Понравилось решение?Жми ЛУЧШИЙ!)
Приложения:

Вас заинтересует
2 года назад
2 года назад
3 года назад
8 лет назад
8 лет назад
9 лет назад
9 лет назад