Помогите умоляю. Я слишком много пропустила из-за операций,а учитель отказывается объяснять
Приложения:
Ответы
Ответ дал:
0
в первых двух строчках в скобках написал, как получили нужное выражение. Если надо вам записывать подробно, то это надо написать перед конечным результатом
Приложения:
Ответ дал:
0
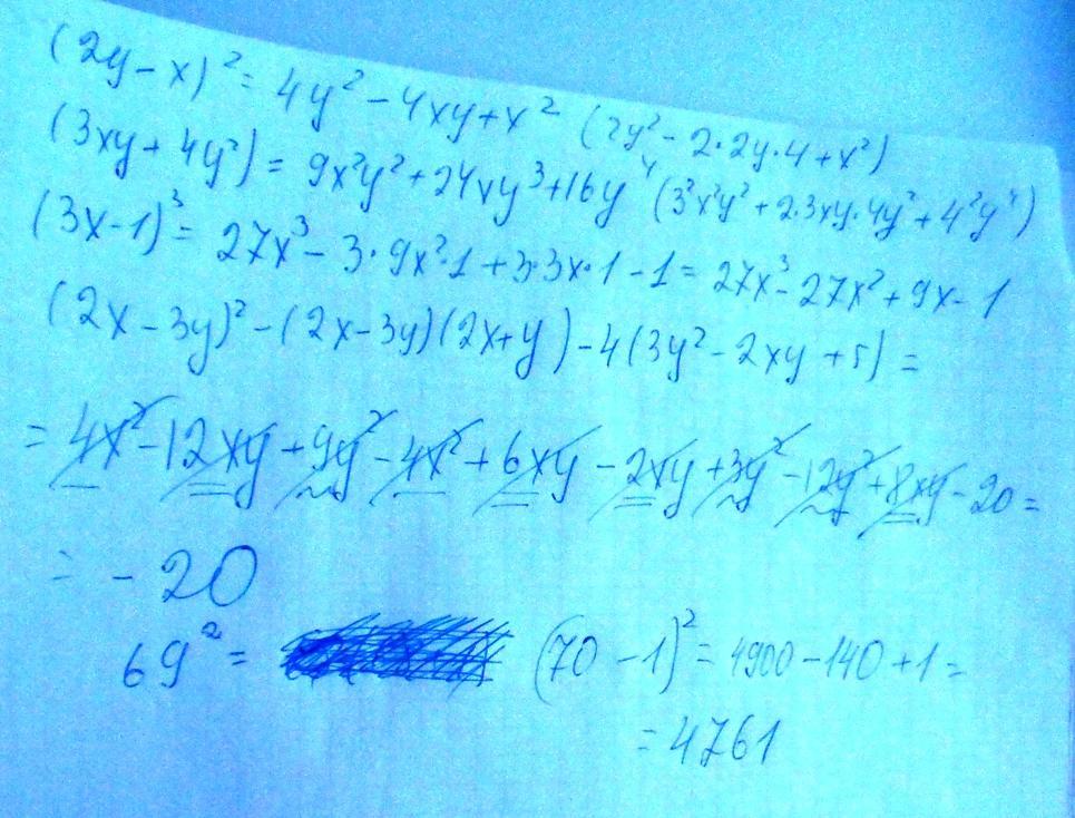
А1.
По формуле (a-b) 2= a2-2ab+b 2

А2. Тоже по этой же формуле раскладываем.

А3.
По формуле (а-b) 3= a3-3a2b+3ab2-b3

B1.
Решение:

Сокращаем все, кроме - 20. Остается
- 20
По формуле (a-b) 2= a2-2ab+b 2
А2. Тоже по этой же формуле раскладываем.
А3.
По формуле (а-b) 3= a3-3a2b+3ab2-b3
B1.
Решение:
Сокращаем все, кроме - 20. Остается
- 20
Приложения:
Вас заинтересует
3 года назад
3 года назад
9 лет назад
9 лет назад
10 лет назад