• Предмет: Математика
  • Автор: JameKey
  • Вопрос задан 8 лет назад

можете решить пожалуйста по математике

Приложения:

Ответы

Ответ дал: katyaass
0

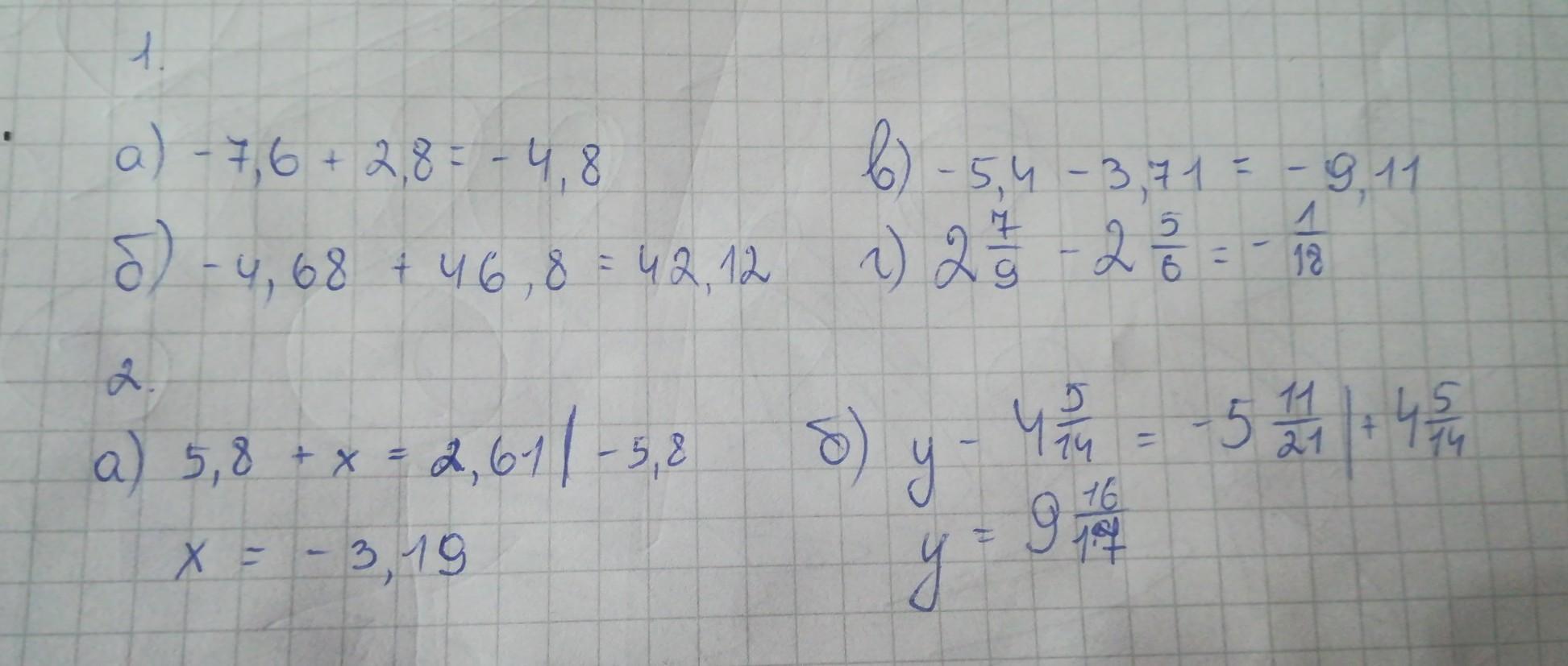
Готово:) всё видно надеюсь на фото

Приложения:
Ответ дал: JameKey
0
а можешь как во 2 задании ответы получил показать пожалуйста
Ответ дал: JameKey
0
как получил ответы*
Ответ дал: elena5filatowa
0

1.

а) -4,8

б) 42,12

в) -9,11

г) -1/18

2.

а) 5,8+х=2,61

Решение:

х=2,61-5,8

х=-3,19

Ответ: -3,19

б) у=-1 1/6

Ответ: -1 1/6

Вроде бы так)

Приложения:
Ответ дал: JameKey
0
в б) во 2 задании как получила ответ скажи пожалуйста
Вас заинтересует