• Предмет: Геометрия
  • Автор: vasiliyPetrov121
  • Вопрос задан 8 лет назад

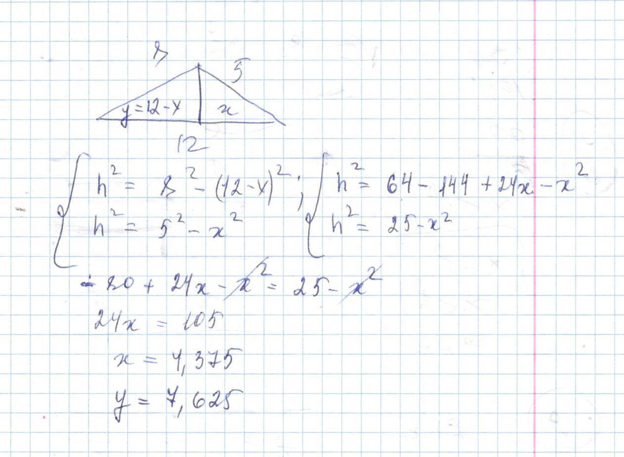
Стороны треугольника равны 12, 8 и 5 см. Из вершины большего угла к большей стороне проведена высота, которая делит эту сторону на отрезки. Найдите эти отрезки.

Ответы

Ответ дал: KjkfKthf
0

Решение в приложении

Приложения:
Вас заинтересует