Ответы
Ответ дал:
0
Решение на фото!
_______________________________
удачи))
Понравилось решение?Жми ЛУЧШИЙ!)
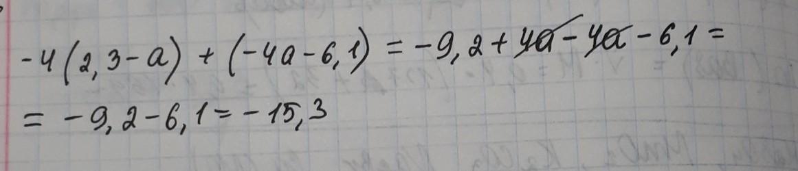
Приложения:

Ответ дал:
0
Решение :
Если перед скобкой стоит знак минус, то знаки в скобке меняются на противоположные,а если перед скобкой стоит знак плюс, то скобка просто снимается, выражение в ней при этом остается неизменным.
- 4(2,3 - a) + ( - 4a - 6,1)
- 9,2 + 4a - 4a - 6,1
Сокращаем противоположные выражения +4а и - 4а
Складываем - 9,2 и - 6,1
Получится
-15,3
Если перед скобкой стоит знак минус, то знаки в скобке меняются на противоположные,а если перед скобкой стоит знак плюс, то скобка просто снимается, выражение в ней при этом остается неизменным.
- 4(2,3 - a) + ( - 4a - 6,1)
- 9,2 + 4a - 4a - 6,1
Сокращаем противоположные выражения +4а и - 4а
Складываем - 9,2 и - 6,1
Получится
-15,3
Приложения:

Вас заинтересует
2 года назад
3 года назад
3 года назад
8 лет назад
8 лет назад
9 лет назад
9 лет назад