Ответы
Ответ дал:
0
..........................
Приложения:

Ответ дал:
0
Решение
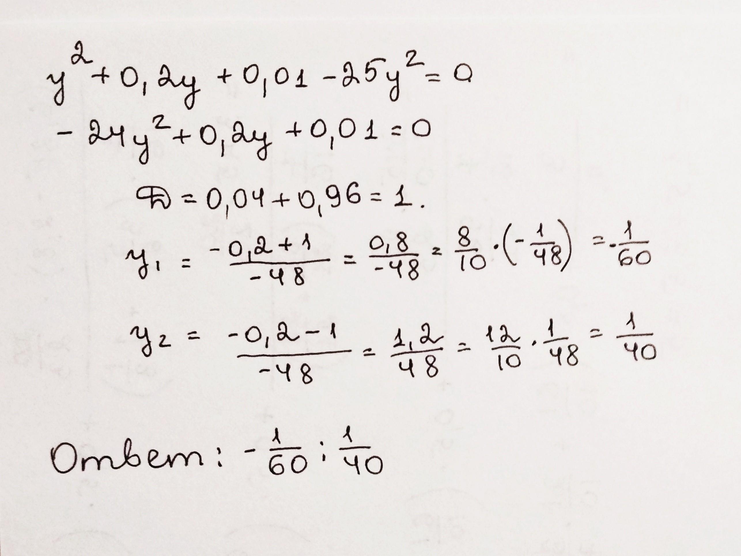
у²+0,2у+0,01+25у²=0
-24у²+0,2у+0,01=0
-2400у²+20у+1=0
2400у²-20у-1=0
Д=-20²-4*2400*(-1)=10000
у=20±100/4800
у=20+100/4800=1/40
у=20-100/4800=-1/60
Ответ
у1=-1/60 , у2=1/40
Приложения:

Вас заинтересует
2 года назад
2 года назад
3 года назад
8 лет назад
8 лет назад
9 лет назад