• Предмет: Математика
  • Автор: leshabocharov1
  • Вопрос задан 8 лет назад

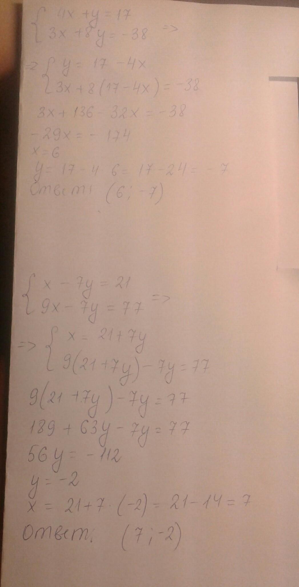
Решить все полностью!!!!!

Приложения:

Ответы

Ответ дал: starttodream111
0

...................................

Приложения:
Ответ дал: anastasiyabalk
0
Ответы на фото. Надеюсь видно. Извините за помарки, спешила решать.
Приложения:
Вас заинтересует