Ответы
Ответ дал:
0
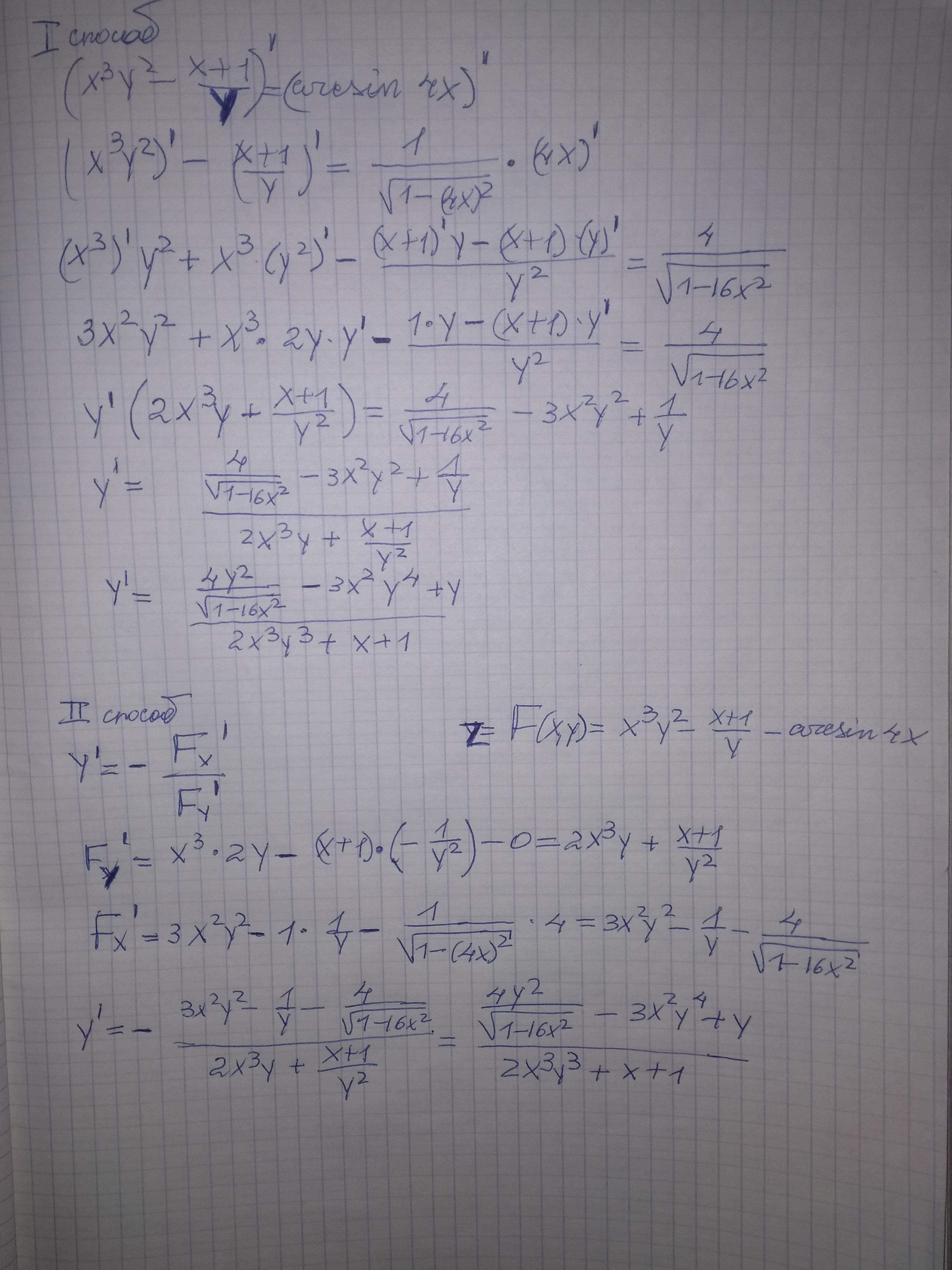
Пошаговое объяснение дано в приложении
Приложения:

Ответ дал:
0
Огромное спасибо, всё понятно и просто. Пользовалась ранее 1 способом, но возникали трудности, 2 способ гораздо проще
Ответ дал:
0
Второй способ проще, но частные производные проходятся позже, чем производная неявно заданной функции, поэтому на всякий случай первый способ я тоже привел
Вас заинтересует
2 года назад
3 года назад
3 года назад
8 лет назад
8 лет назад