• Предмет: Алгебра
  • Автор: Ilya1118
  • Вопрос задан 8 лет назад

Даю 98 баллов. Решить уравнения.

Приложения:

Ответы

Ответ дал: Dyaaa
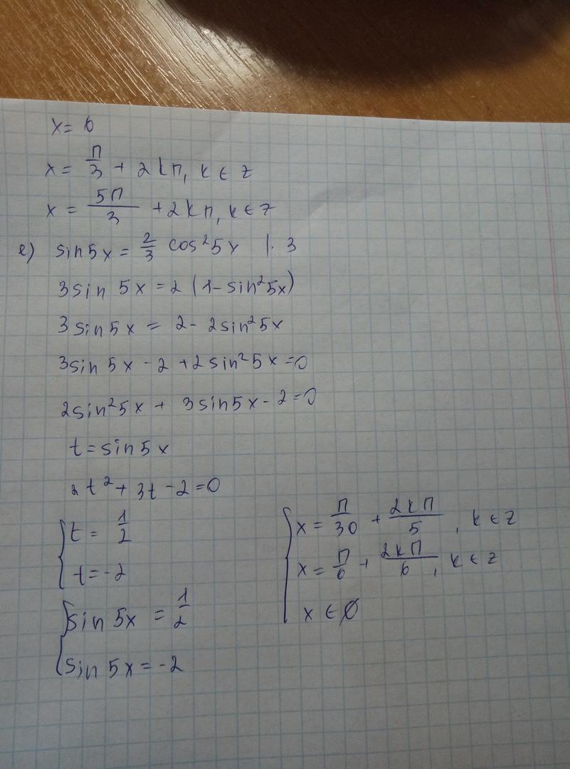
0

Ответ на фото, только г не знаю, сорри

Приложения:
Ответ дал: gleb1818
0

г) 1 + Cosx = Ctgx/2

   1 + Cos²x/2 - Sin²x/2 = Cosx/2/Sinx/2,

2Cos²x/2 -Cosx/2/Sinx/2 = 0

(2Cos²x/2 * Sinx/2 - Cosx/2)/Sinx/2 = 0 , ⇒

2Cos²x/2 * Sinx/2 - Cosx/2 = 0        Cosx/2(2Cosx/2 Sinx/2 -1) = 0

Sinx/2 ≠ 0 ,  ⇒                                  Sinx/2 ≠ 0, ⇒

Cosx/2 = 0             или               2Cosx/2 Sinx/2 -1 = 0

x/2 = π/2 + πk , k ∈Z                       Sinx -1 = 0

x = π + 2πk , k ∈ Z                           x = π/2 + 2πn , n ∈Z

Приложения:
Ответ дал: hhokage
0
https://znanija.com/task/31853082
помоги пожалуйста с 1 номером,50 баллов
Вас заинтересует