• Предмет: Алгебра
  • Автор: NonKogen
  • Вопрос задан 8 лет назад

ПОЖАЛУЙСТА, ПОМОГИТЕ!
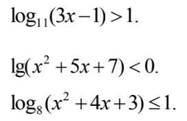
Решите 3 неравенства! Подробно.

Приложения:

Ответы

Ответ дал: lidiasaraa3
0

на фото................

Приложения:
Вас заинтересует