• Предмет: Алгебра
  • Автор: РомановаАлена
  • Вопрос задан 11 лет назад

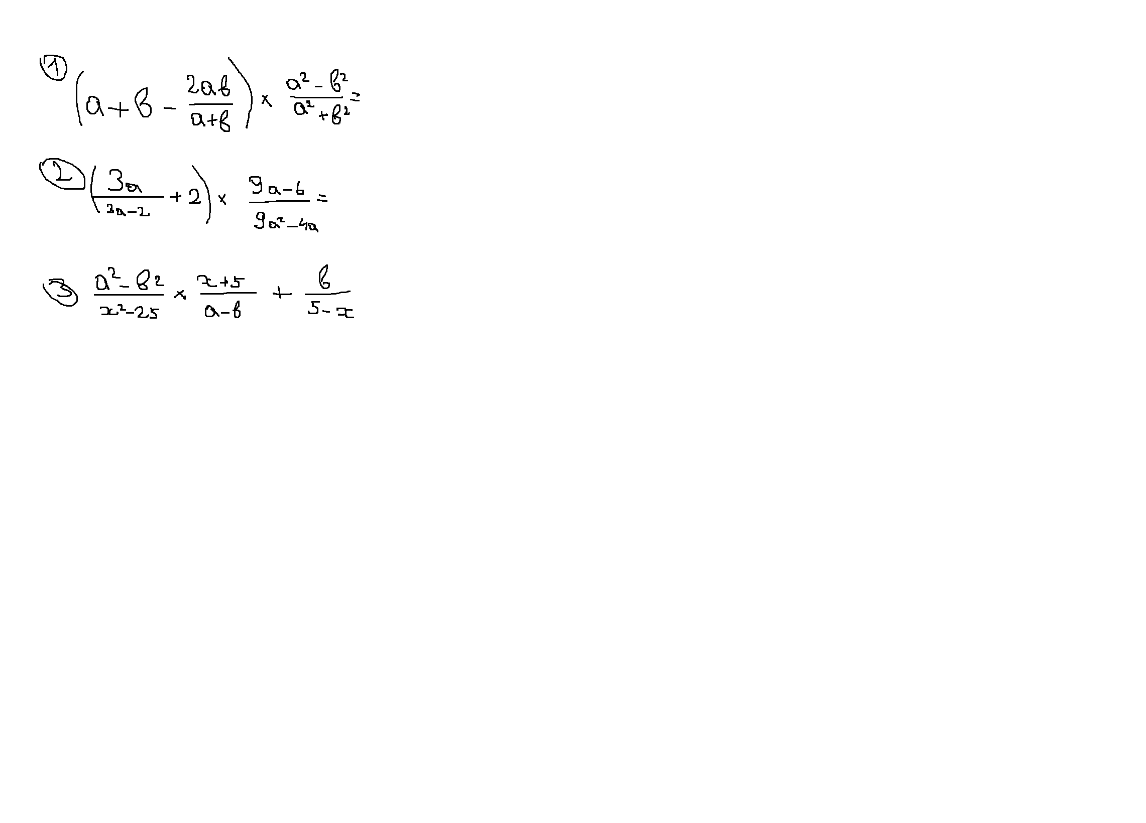
Решите , пожалуйста 
алгебра 
8 класс. 
срочно надо

Приложения:

Ответы

Ответ дал: 89320
0
Пользуйся на здоровье))))Надеюсь,всё понятно)))Сорри,если картинка не перевернулась(
Приложения:
Ответ дал: РомановаАлена
0
спасибо большое!
выручили :)))
все понятно)))
Вас заинтересует