• Предмет: Алгебра
  • Автор: cava18
  • Вопрос задан 8 лет назад

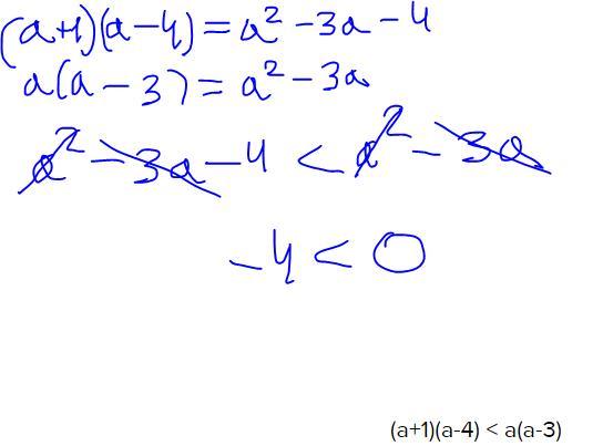
Докажите неравенства
(а+1)(а-4) < а(а-3)
ПОМОГИТЕ ПОЖАЛУЙСТА ОЧЕНЬ СРОЧНО!!!!​

Ответы

Ответ дал: onlytester01
0

Всё просто сокращается. Есть вопрос - пиши

Приложения:
Ответ дал: cava18
0
как получилось а^2
Ответ дал: cava18
0
а всё поняла там тип скобки раскрываем
Ответ дал: onlytester01
0
Верно, раскрываем скобки)
Вас заинтересует